MAKE A MEME
View Large Image
View Original:
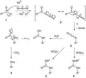
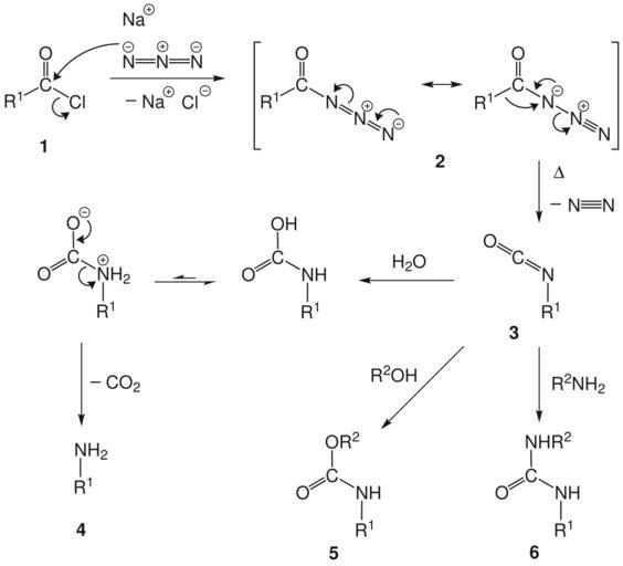
Curtius rearrangement mechanism v1.svg (413x375)
Download:
Original
Medium
Small
Thumb
Courtesy of:
commons.wikimedia.org
More Like This
Keywords: Curtius rearrangement mechanism v1.svg en Mechanism of the Curtius rearrangement de Mechanismus der Curtius-Reaktion selbst erstellt mit ChemBioOffice 11 LinuxCLP 2011-08-12 Cc-zero Curtius rearrangement
Terms of Use
 
Search of the Day