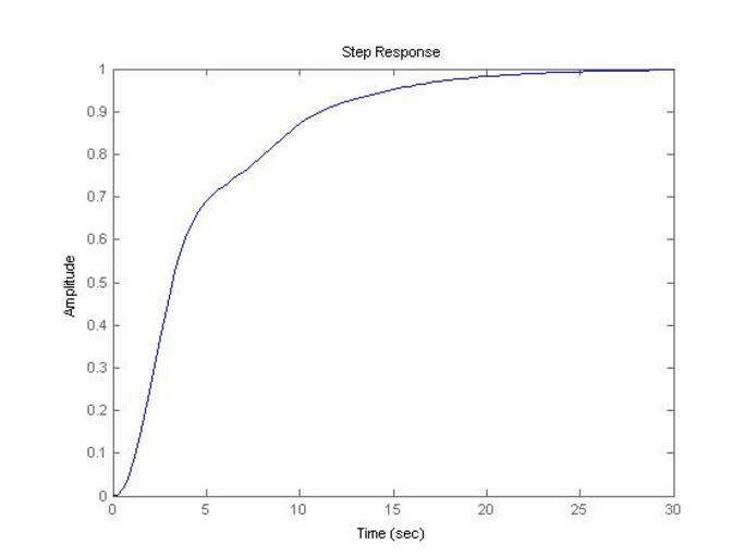
| Keywords: Fig3a.jpg es Respuesta a un escalón salto de un sistema de 3er orden con ganancia DC 0 5 dos polos complejos en -1/2 +-j raíz 3 /2 y polo en -5 No tiene ceros finitos en un lazo cerrado de realimentación unitaria y control PI con cero en -1 y polo en el origen own Wcolmen 03/02/2009 Control theory |