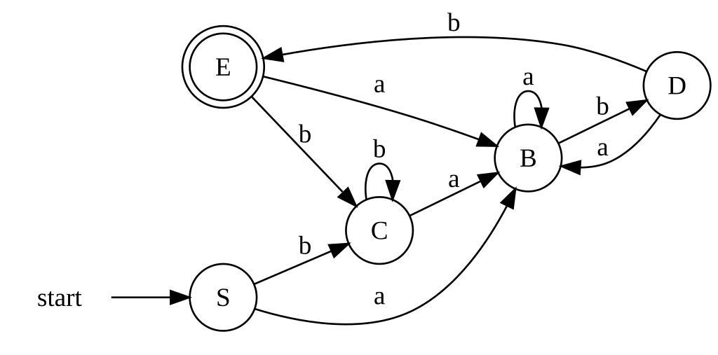
MAKE A MEME View Large Image Figura2.svg es DFA resultante own Escaldon 2010-10-14 Escaldon GFDL cc-by-sa-all Finite state machine
View Original:Figura2.svg (386x191)
Download: Original    Medium    Small Thumb
Courtesy of:commons.wikimedia.org More Like This
Keywords: Figura2.svg es DFA resultante own Escaldon 2010-10-14 Escaldon GFDL cc-by-sa-all Finite state machine
Terms of Use   Search of the Day