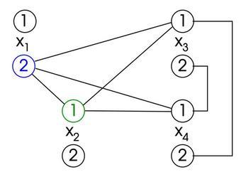
MAKE A MEME View Large Image Forward-arc-0.svg An example showing that forward checking is different than arc-concistency look ahead Initial settings x1 is previously assigned and x2 is given a tentative value 2006-02-06 own assumed Tizio Constraint satisfaction
View Original:Forward-arc-0.svg (1x1)
Download: Original    Medium    Small Thumb
Courtesy of:commons.wikimedia.org More Like This
Keywords: Forward-arc-0.svg An example showing that forward checking is different than arc-concistency look ahead Initial settings x1 is previously assigned and x2 is given a tentative value 2006-02-06 own assumed Tizio Constraint satisfaction
Terms of Use   Search of the Day