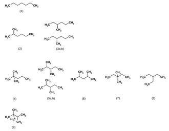
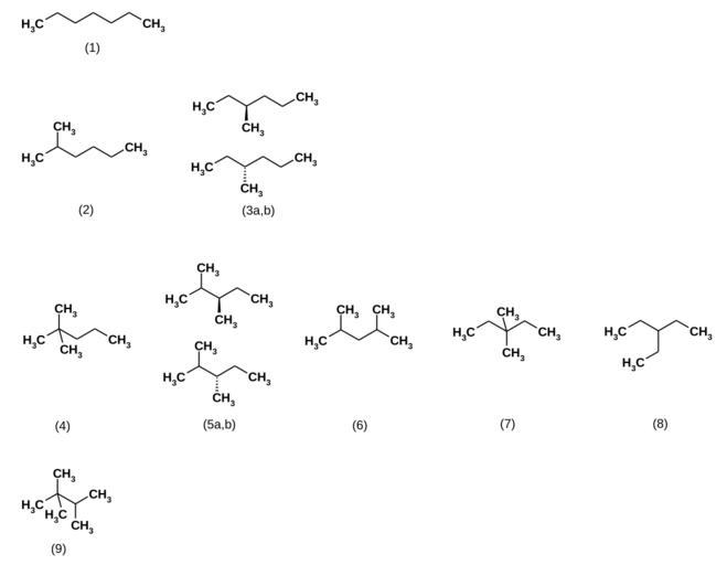
MAKE A MEME View Large Image Heptane isomers.svg en Isomers of heptane de Isomere des Heptans own Steffen 962 2010-10-12 PD-chem Alkanes
View Original:Heptane isomers.svg (867x673)
Download: Original    Medium    Small Thumb
Courtesy of:commons.wikimedia.org More Like This
Keywords: Heptane isomers.svg en Isomers of heptane de Isomere des Heptans own Steffen 962 2010-10-12 PD-chem Alkanes
Terms of Use   Search of the Day