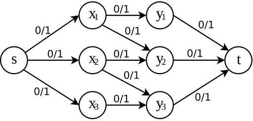
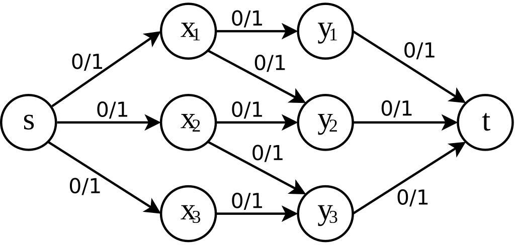
| Keywords: Maximum bipartite matching to max flow.svg Transformation of Maximum Cardinality Bipartite Matching into Maximum Flow Problem Self-created using Dia 09/07/2009 Chin Ho Lee Tcshasaposse Original upload log en wikipedia Milicevic01 CommonsHelper en wikipedia Maximum_bipartite_matching_to_max_flow svg 2009-07-10 03 19 Tcshasaposse 815×390× 11076 bytes <nowiki></nowiki> 2009-07-10 03 01 Tcshasaposse 815×390× 11028 bytes <nowiki></nowiki> 2009-07-09 09 08 Tcshasaposse 200×393× 7188 bytes <nowiki></nowiki> 2009-07-09 08 59 Tcshasaposse 226×393× 7316 bytes <nowiki> Transformation of Maximum Cardinality Bipartite Matching into Maximum Flow Problem Self-created using Graphviz 09/07/2009 Chin Ho Lee </nowiki> Flow networks |