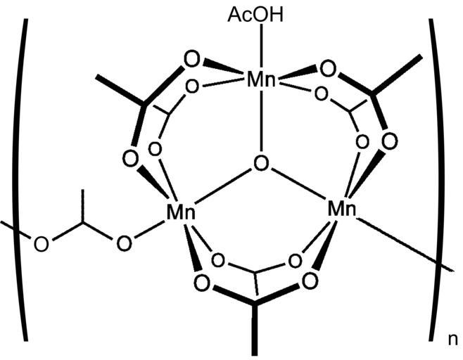
MAKE A MEME View Large Image (Mn3O(OAc)6)(AcO)(AcOH).png manganese III acetate based on single-crystal X-ray crystallography of an analogous compound for a different metal This whole complex is a cation with a +1 charge; there is a “1 anionic counterion not included in ...
View Original:(Mn3O(OAc)6)(AcO)(AcOH).png (3045x2370)
Download: Original    Medium    Small Thumb
Courtesy of:commons.wikimedia.org More Like This
Keywords: (Mn3O(OAc)6)(AcO)(AcOH).png manganese III acetate based on single-crystal X-ray crystallography of an analogous compound for a different metal This whole complex is a cation with a +1 charge; there is a “1 anionic counterion not included in the diagram The three water water molecules are ligand s on the manganese atoms based on the known structure of the analogous rhodium compound --they are not waters of crystallization representing a hydrate form of the compound cite journal Glowiak T; Kubiak M ; Szymanska-Buzar T Crystal and molecular structures of trinuclear rhodium III complexes trans-μ<sub>3</sub>-oxo-trisbis acetato aquarhodium III perchlorate dihydrate and monohydrate Acta Crystallographica Section B 1977 33 6 1732 “1737 10 1107/S0567740877006979 However the true structure of the actual manganese compounds may have acetic acid or acetate units instead of these water molecules see en wp article Mn3O OAc 6 png 50 2013-06-20 08 46 UTC Mn3O OAc 6 png cite journal Glowiak T; Kubiak M ; Szymanska-Buzar T Crystal and molecular structures of trinuclear rhodium III complexes trans-μ<sub>3</sub>-oxo-trisbis acetato aquarhodium III perchlorate dihydrate and monohydrate Acta Crystallographica Section B 1977 33 6 1732 “1737 10 1107/S0567740877006979 However the true structure of the actual manganese compounds may have acetic acid or acetate units instead of these water molecules see en wp article Smokefoot derivative work Gmeyer water residues replaced by acetates/acetic acid Gmeyer Mn3O OAc 6 png own Smokefoot Coordination compounds</nowiki> Uploaded with derivativeFX Acetato complexes Manganese complexes
Terms of Use   Search of the Day