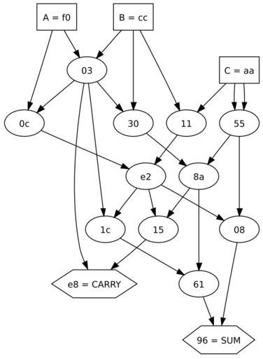
MAKE A MEME View Large Image NorAdder.svg Network of NOR gates to perform a full binary addition I Paul Murray talk created this work entirely by myself 08 58 31 August 2009 UTC Paul Murray talk ;Truth Table The numbers in the shapes are columns of the truth table ...
View Original:NorAdder.svg (358x488)
Download: Original    Medium    Small Thumb
Courtesy of:commons.wikimedia.org More Like This
Keywords: NorAdder.svg Network of NOR gates to perform a full binary addition I Paul Murray talk created this work entirely by myself 08 58 31 August 2009 UTC Paul Murray talk ;Truth Table The numbers in the shapes are columns of the truth table below Each circle and hexagon is a two-input NOR gate whose output might be used by one or more other input gates wikitable style text-align center; width 200px; height 200px border 1 +Truth table - rowspan 2 Bit colspan 3 Inputs colspan 2 Outputs - A B C Carry Sum - 0 0 0 0 0 0 - 1 0 0 1 0 1 - 2 0 1 0 0 1 - 3 0 1 1 1 0 - 4 1 0 0 0 1 - 5 1 0 1 1 0 - 6 1 1 0 1 0 - 7 1 1 1 1 1 Paul Murray Original upload log page en wikipedia NorAdder svg 2009-08-31 09 01 Paul Murray 448×610× 9191 bytes <nowiki>Remove some text to make the image smaller</nowiki> 2009-08-31 08 58 Paul Murray 708×675× 9472 bytes <nowiki> Network of NOR gates to perform a full binary addition I ~~~ created this work entirely by myself ~~~~~ ~~~ </nowiki> Logic Adders digital circuits
Terms of Use   Search of the Day